Tetrapyrrolová barviva
Z WikiSkript
(přesměrováno z Tetrapyroly)
Tetrapyrrolová barviva (tetrapyrroly) jsou:
- Porfyrinová barviva (porfyriny) – cyklická
- Hemová barviva (hemy)
- Chlorofylová barviva (chlorofyly)
- Bilinová barviva (biliny) – lineární
- Fykobiliny
- Žlučová barviva
Hemová barviva (hem):
- Mají vlastní nomenklaturu.
- Výskyt v mase, masných výrobcích.
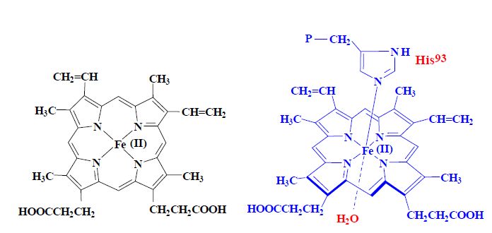
- Hem (redukovaný hematin, ), hemoglobin
- Hematin (), myoglobin (P=zbytek globinu o 16,8 kDa)
- Myoglobin () – tmavě červený
- Oxymyoglobin () – rumělkově červený
- Metmyoglobin () – hnědý až hnědošedý
Reakce MMb při tepelném zpracování masa:
- Metmyoglobin
- Denaturace globinu (70–80 °C)
- Hydrolýza globinu
- Hematin nebo hem
- (Ztráta nebo ) lineární tetrapyrroly
Stabilizace barvy masa a masných výrobků
Mikroflora
Záhřev
Askorbová kyselina
Šedá až zelená barviva (sulfomyoglobin, verdochrom, cholemyoglobin).
Odkazy
Související články
Zdroj
- DAVÍDEK, Jiří. 11. SLOUČENINY OVLIVŇUJÍCÍ BARVU POTRAVIN [online]. [cit. 2012-03-13]. <https://el.lf1.cuni.cz/p21372106/>.



