Sacharidy (1. LF UK, NT)
Klasifikace[upravit | editovat zdroj]
Podle počtu cukerných jednotek
- Monosacharidy
- Oligosacharidy (2–10 monosacharidových jednotek)
- Polysacharidy (> 10 monosacharidových jednotek)
- Složené (komplexní, konjugované) sacharidy
Podle vázanosti:
- volné
- vázané
- homoglykosidy
- heteroglykosidy
- aglykon (necukerná složka)
Monosacharidy[upravit | editovat zdroj]
- polyhydroxyalkylsubstituované aldehydy a ketony, odvozené sloučeniny
- hlavní živiny, biologicky a senzoricky aktivní látky
- vlastnost: sladká chuť
Struktura a klasifikace[upravit | editovat zdroj]
- aldosy
- ketosy
- Podle počtu atomů uhlíku (3–8) (násobky CH2O (formaldehyd)):
- triosy
- tetrosy
- pentózy
- hexózy
- D-glukóza (D-gluko-hexóza) = dextrosa, hroznový cukr

- D-fruktóza (D-arabino-hex-2-ulosa) = levulosa, ovocný cukr

- D-glukóza (D-gluko-hexóza) = dextrosa, hroznový cukr
- Podle uspořádání řetězce
- s přímým řetězcem
- s rozvětveným řetězcem
- Podle typu laktolu
Mutarotace[upravit | editovat zdroj]
Konformace[upravit | editovat zdroj]
- furanosy (obálkové E, zkřížené T)
- pyranosy (židličkové 4C1, 1C4)
- acyklické formy (konformace cik-cak)
Výskyt[upravit | editovat zdroj]
- složky téměř všech potravin
- netypické monosacharidy
(zkratky: glukóza Glc, furanosa f, fruktóza Fru, pyranosa p, mannosa Man, kyselina A, apiosa Api, sorbosa Sor, β-D-glukopyranosa β-D-Glcp)
Deriváty monosacharidů[upravit | editovat zdroj]
- chemické reakce jejich vzniku:
- oxidace (přesmyk) – cukerné kyseliny, ketoaldosy, diketosy
- redukce – cukerné alkoholy, deoxycukry
- dehydratace – anhydrocukry
- reakce s dalšími sloučeninami – glykosidy, ethery, estery
Cukerné kyseliny[upravit | editovat zdroj]
- aldonové (glykonové) – glukózaoxidáza, Ca-glukonan (medicína), δ-lakton (fermentované salámy, 0,1 %)
- alduronové (glykuronové) – polysacharidy: D-GlcA6 (glykoproteiny), D-GalA6 (pektiny), D-ManA6 a L-GulA6 (algináty)
- aldarové (glykarové), např. vinná a jablečná kyselina
- obsah v čekance a sladu
Ketoaldosy, diketosy[upravit | editovat zdroj]
- klíčové produkty Maillardovy reakce a oxidace
Cukerné alkoholy[upravit | editovat zdroj]
- alditoly, glycitoly (deriváty glycerolu)
- redukce poloacetalového hydroxylu mono- a oligosacharidů
- přirozené složky potravin
- ribitol – riboflavin
- arabinitol – houby
- xylitol – houby
- D-glucitol – švestky, jeřabiny, hrušky
- D-mannitol – houby, jeřabiny, celer, zelená káva
- galaktitol – houby, kysané mléčné výrobky
- syntetické (redukce H2/kat., NaHgx, náhradní sladidla)
- xylitol, D-glucitol
velmi rozšířen, fosfolipidy, fytáty, pseudooligosacharidy (luštěniny)
Deoxycukry[upravit | editovat zdroj]
- redukce primárního / sekundárního hydroxylu – přírodní, Maillardova reakce
2-deoxycukry
6-deoxycukry (6-deoxyhexózy = methylpentózy)
Anhydrocukry[upravit | editovat zdroj]
anhydridy cukrů, glykosany, eliminace vody, hlavně poloacetalová a další OH
- přírodní složky polysacharidů CH2O
- 3,6-anhydro-α-D-galaktopyranosa (karagenany)
- 3,6-anhydro-α-L-galaktopyranosa (agar)
- produkty termických reakcí
- 1,6-anhydro-β-D-glukopyranosa (β-glukózan, levoglukózan) (karamel)
Glykosidy, ethery, estery a další deriváty[upravit | editovat zdroj]
- O-glykosidy – velmi rozšířeny
- ethery: 4-O-methyl-D-GlcpA (hemicelulosy), 2-O-methyl-D-Xylp (pektiny)
- estery – přírodní (fosfáty, acetáty, benzoáty aj.), syntetické (mastné kyseliny, emulgátory)
- S-glykosidy – glukosinoláty
- N-glykosidy – přírodní (ATP, NADH), Maillardova reakce (glykosylaminy)
- aminodeoxycukry – přírodní (chitosamin), Maillardova reakce (Amadoriho produkty)
- C-glykosidy
Oligosacharidy[upravit | editovat zdroj]
- homoglykosidy
- pentózy, hexózy, cukerné kyseliny aj. deriváty
- furanosy, pyranosy
Klasifikace[upravit | editovat zdroj]
Podle počtu monosacharidů (monos, 2-10)
- disacharidy (biosy) – dekasacharidy (dekaosy)
Podle přítomnosti poloacetalové OH
- redukující (glykosidy)
- neredukující (glykosylglykosidy)
Podle převažujícího monosacharidu
- glukooligosacharidy
- maltosa, maltooligosacharidy
- fruktooligosacharidy
- galaktooligosacharidy
- laktosa, α-galaktosidy
Podle stravitelnosti
- stravitelné
- nestravitelné
Podle biologických účinků
- prebiotické účinky (stimulují růst a metabolismus žádoucí mikroflóry)
- probiotické účinky (s vlákninou ovlivňují a regulují peristaltiku)
- synbiotické účinky (současně prebiotické i probiotické)
Názvosloví[upravit | editovat zdroj]
- maltosa
- α-D-glukopyranosyl-(1→4)-D-glukopyranosa,
- 4-O-α-D-glukopyranosyl-D-glukopyranosa
- α-D-Glcp-(1→4)-D-Glcp
- α,α-trehalosa
- α-D-glukopyranosyl-α-D-glukopyranosid
- α-D-Glcp-(1↔1)-α-D-Glcp
Glukooligosacharidy[upravit | editovat zdroj]
maltosa = α-D-Glcp-(1→4)-D-Glcp (sladový cukr)
Výskyt
- produkt hydrolýzy škrobu, reverze glukózy
- slad, chléb (1,7–4,3 %), med (2,7–16 %)
Výroba
- maltosové (85 %), glukosové sirupy (kyseliny, enzymy)
- maltosa
- isomerace na maltulosu, α-D-Glcp-(1→4)-D-Fruf
- redukce na maltitol, α-D-Glcp-(1→4)-D-glucitol
Fruktooligosacharidy[upravit | editovat zdroj]
sacharóza = α-D-Glcp-(1↔2)-β-D-Fruf (řepný cukr)
Výskyt
| ovoce | do 8 % | . |
| zelenina | 0,1–12 % | . |
| káva zelená (pražená) | 6–7 % (0,2 %) | . |
| cukrová řepa | 15–20 % | řepný cukr |
| cukrová třtina | 12–26 % | třtinový cukr |
| javor cukrodárný (šťáva) | 5 % | javorový sirup |
| datle | 81 % (suš.) | datlový cukr |
Výroba (z cukrové řepy)
- extrakce řízků (difuze)
- čištění (epurace) surové šťávy, čiření Ca(OH)2
- saturace CO2
- filtrace, lehká šťáva
- zahuštění – těžká šťáva (61–67 % sacharózy, 68–72 % sušiny)
- surový (hnědý) cukr – 96 % sacharózy, 2–3 % necukrů, 1–2 % vody (1,0–1,2 % organických, 0,8–1,0 % anorganických látek)
- afináda
- rafináda – melasa (krmivo, substrát pro kvasné procesy), výroba invertního cukru, dalších produktů
Galaktooligosacharidy[upravit | editovat zdroj]
laktosa = β-D-Galp-(1→4)-D-Glcp (mléčný cukr)
Výskyt
- kravské mléko 4–5 %
- lidské mléko 5,5–7 %
Výroba (ze syrovátky)
- ultrafiltrací
- po zahuštění krystalizací – výroba galaktosy, galaktitolu, laktulosy, laktitolu
další β-galaktooligosacharidy mléka
α-galaktooligosacharidy luštěnin[upravit | editovat zdroj]
Reakce sacharidů[upravit | editovat zdroj]
- komplexní enzymové a neenzymové reakce
- karbonylové, anomerní OH, primární OH, sekundární OH
Reakce neenzymového hnědnutí
- reakce samotných sacharidů
- reakce Maillardova (reakce s proteiny, aminosloučeninami)
- karamelizace
Reakce sacharidů
- Reaktanty
- redukující mono- a oligosacharidy
- neredukující oligo- a polysacharidy po hydrolýze
Hlavní reakce monosacharidů (reakce acidobazicky katalyzované)
- v kyselém prostředí (další faktory: teplota, doba)
- vznik (hydrolýza) glykosidů, dehydratace, vznik reduktonů
- v alkalickém prostředí
- mutarotace, isomerace, přesmyky, fragmentace, oxidace
Vznik a hydrolýza glykosidů
Hydrolýza (inverze)
- výroba škrobových sirupů
- invertního cukru
- galaktosy
Vznik (reverze, Fischerova reakce)
- vedlejší produkty inverze (škrobové sirupy: 5-6 %)
- vedlejší produkty karamelizace
- nízkoenergetické výrobky
- indikátory falšování
Dehydratace
- reakce poloacetalových OH a dalších OH
- poloacetalový OH / další OH → anhydrocukry (glykosany)
- další OH / další OH → deoxycukry
Anhydrocukry
- β-D-Glcp → 1,6-anhydro-β-D-Glcp (β-glukózan)

- vedlejší produkty inverze (glukóza < 1 %)
- vedlejší produkty karamelizace (více)
Deoxycukry
Vznik reduktonů
Isomerace
Isomerace disacharidů
- laktosa – β-D-Galp-(1→4)-D-Glcp
- laktulosa – β-D-Galp-(1→4)-D-Fruf
- epilaktosa – β-D-Galp-(1→4)-D-Manp
Přesmyky na kyseliny
- 1-en-1,2-diol, Cannizzarova reakce, benzylový přesmyk
Fragmentace
Maillardova reakce[upravit | editovat zdroj]
Reakce neenzymového hnědnutí[upravit | editovat zdroj]
Reaktanty
- cukry (karbonylové sloučeniny)
- monosacharidy a redukující oligosacharidy
- (neredukující oligosacharidy, polysacharidy, glykosidy)
- triosa > …. > pentóza > hexóza (acyklická forma)
- aldosa > ketosa
- α-dikarbonyly > aldehydy > ketony > sacharidy
- bílkoviny (aminosloučeniny)
- ε-NH2 Lys, N-koncová NH2, guanidylová Arg, SH Cys
- volné aminokyseliny, aminy, amoniak
- ε-NH2 > …. > β-NH2 > α-NH2
- NH3 > R-NH2 > aminokyselina
Reakční podmínky
- aktivita vody (aw 0,3–0,7)
- pH (9–10)
- další (teplota, doba reakce, další složky)
Důsledky pozitivní, negativní
- vznik aromatických látek
- vznik žlutých, hnědých, černých pigmentů melanoidinů
- snížení výživové hodnoty
- potenciálně toxické produkty
- reakce in vivo (glykosylace bílkovin)
Mechanismy reakce – 3 fáze reakce
- počáteční fáze
- vznik glykosylaminu (Amadoriho přesmyk) a aminodeoxycukru (Amadoriho produktu)
- střední fáze
- rozklad sacharidů, glykosylaminů, aminodeoxycukrů (dehydratace, fragmentace)
- rozklad aminokyselin (Streckerova degradace)
- závěrečná fáze
- reakce produktů a rozkladných produktů, vznik vonných, chuťových a barevných látek (melanoidinů)
Glykosylaminy a aminodeoxycukry[upravit | editovat zdroj]
- ketosy → ketosylamin → aldosamin (2-amino-2-deoxyaldosa), Heynsův p.
- mechanismy (reakce acyklických forem)
Rozklad aminodeoxycukrů
- 1,2-enolizace, kyselé prostředí
- 2,3-enolizace, neutrální a alkalické prostředí
- vznik glykosulos a glykodiulos (aldoketos a diketos)
Analogie s reakcemi samotných cukrů
- nižší aktivační energie
- produkty obsahují N a S
- kvalitativně i kvantitativně více produktů
paralelně rozklad samotných cukrů a aminokyselin
Významné heterocyklické produkty
Maillardova reakce u významných komodit[upravit | editovat zdroj]
- pozitivní i negativní důsledky, žádoucí i nežádoucí reakce
technologie (vůně, chuť, barva, nutriční hodnota)
- pražení
- vaření, pečení, smažení
- sušení
- extruze, mikrovlnný ohřev
- mléko, mléčné výrobky – Lys: 10–30 % tradiční sušení, 3 % sprejové sušení
- cereálie, cereální výrobky – Lys: 70 % kůrka chleba, 10 % celkem
- maso, masné výrobky – mutageny
- ovoce, zelenina
- káva, kakao, ořechy
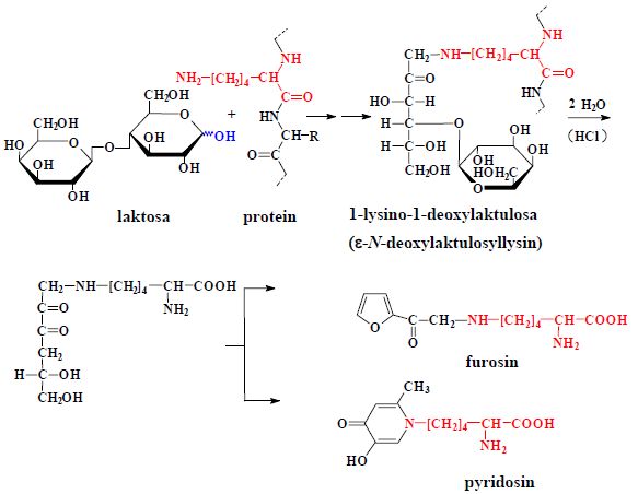
Reakce při zpracování mléka nevyužitelný (blokovaný) Lys
- isomerace laktosa → laktulosa + epilaktosa
- lysinoalanin
Inhibice Maillardovy reakce
- vytváření nepříznivých podmínek
- obsah vody (aktivita), snížení teploty, úprava pH
- odstranění jednoho z partnerů
- použití inhibitorů

Karamelizace[upravit | editovat zdroj]
- cukry (sacharóza, glukóza, fruktóza, škrobové sirupy, invertní cukr)
- teplota 150–190 °C (240 °C)
- doba reakce 5–10 hodin
- katalyzátor
- karamel – pevný produkt
- kulér – roztok
| třída | název kuléru | přídatné látky | použití | |
|---|---|---|---|---|
| I | CP | kaustický | Na2C03, K2CO3, NaOH. KOH, H2S04, octová, citronová kyselina | lihoviny (vysoký obsah alkoholu) |
| II | CCS | kaustický sulfitový | S02, H2S04, Na2S03, K2S03, NaOH, KOH | ocet, pivo, lihoviny, aromatizovaná vína, medovina |
| III | AC | amoniakový | NH3, (NH4)2S04, Na2C03, H2S04, NaOH, KOH | pivo aj. alkoholické nápoje, kyselé potraviny |
| IV | SAC | amoniakový-sulfitový | NH3, S02, (NH4)2S03, Na2S03, K2S03, Na2C03, K2C03, NaOH, KOH, H2S04 | kyselé potraviny, nealkoholické nápoje |
Odkazy[upravit | editovat zdroj]
Související články[upravit | editovat zdroj]
- Sacharidy • Sacharidy v potravě
- Lipidy • Lipidy (1. LF UK, NT) • Tuky v potravě • Lipidy jako zdroj energie • Odbourávání lipidů a metabolismus ketolátek • Mastné kyseliny
- Bílkoviny v potravě • Bílkoviny (1. LF UK, NT) • Aminokyseliny
- Druhy potravin • Minerální látky v potravě • Stopové prvky v potravě • Mikroorganismy v potravě • Cizorodé látky v potravinách
Zdroj[upravit | editovat zdroj]
- DAVÍDEK, Jiří. 5. SACHARIDY [online]. [cit. 2012-03-12]. <https://el.lf1.cuni.cz/p46134582/>.
































